Systematic review of preoperative, intraoperative and postoperative risk factors for colorectal anastomotic leaks

“Anastomotic leak (AL) represents a dreaded complication following colorectal surgery, with a prevalence of 1-19 per cent. There remains a lack of consensus regarding factors that may predispose to AL and the relative risks associated with them. The objective was to perform a systematic review of the literature, focusing on the role of preoperative, intraoperative and postoperative factors in the development of colorectal ALs.”

Continue reading

Society for Vascular Surgery (SVS) Clinical Practice Guidelines on Popliteal Artery Aneurysms

“Popliteal artery aneurysms (PAAs) are the most common peripheral arterial aneurysms, defined as aneurysms outside the aortoiliac system or the brain, accounting for 70% of all peripheral arterial aneurysms. They are more common in men (95%) and tend to occur in the sixth and seventh decades of life. Few modern studies have been performed on the natural history of PAAs, and many of these were retrospective reviews of surgical patients. As such, the timing and details of PAA management remain nuanced.”

“These guidelines focus on PAA screening, indications for intervention, choice of repair strategy, management of asymptomatic and symptomatic PAAs (including those presenting with acute limb ischemia), and follow-up of both untreated and treated PAAs. They offer long-awaited evidence-based recommendations for physicians taking care of these patients.”

Continue reading

Early diagnosis and risk factors of necrotizing soft tissue infection

Fernando SM, Tran A, Cheng W, et al. Necrotizing Soft Tissue Infection: Diagnostic Accuracy of Physical Examination, Imaging, and LRINEC Score: A Systematic Review and Meta-Analysis. Ann Surg. 2019 Jan;269(1):58-65. doi: 10.1097/SLA.0000000000002774. Full-text for Emory users.

Conclusion: “Our systematic review found that individual physical examination signs (fever, hemorrhagic bullae, and hypotension) were poorly sensitive for diagnosis of NSTI. CT had superior sensitivity and specificity to plain radiography in diagnosing NSTI, but may not be readily available in all centers, and may not be suitable for unstable patients. Finally, the LRINEC score was poorly sensitive for diagnosis of NSTI, suggesting that a low score is not sufficient to rule out the diagnosis.”


See also:

Abu El Hawa AA, Dekker PK, et al. Early Diagnosis and Surgical Management of Necrotizing Fasciitis of the Lower Extremities: Risk Factors for Mortality and Amputation. Adv Wound Care (New Rochelle). 2022 May;11(5):217-225.

Harasawa T, et al. Accurate and quick predictor of necrotizing soft tissue infection: Usefulness of the LRINEC score and NSTI assessment score. J Infect Chemother. 2020 Apr;26(4):331-334.

Continue reading

Vancomycin-Related Acute Kidney Injury

Zasowski EJ, et al. Identification of Vancomycin Exposure-Toxicity Thresholds in Hospitalized Patients Receiving Intravenous Vancomycin. Antimicrob Agents Chemother. 2017 Dec 21;62(1):e01684-17.

Evidence supports vancomycin therapeutic-drug monitoring by area under the concentration-time curve (AUC), but data to establish an AUC upper limit are limited and published nephrotoxicity thresholds range widely. The objective of this analysis was to examine the association between initial vancomycin AUC and nephrotoxicity. This was a multicenter, retrospective cohort study of adult patients receiving intravenous vancomycin from 2014 to 2015. Nephrotoxicity was defined as a serum creatinine increase of 0.5 mg/liter and 50% from baseline on consecutive measurements. Vancomycin exposure profile during the initial 48 h of therapy was estimated using maximum a posteriori probability Bayesian estimation. Vancomycin AUC and minimum-concentration (Cmin) thresholds most strongly associated with nephrotoxicity were identified via classification and regression tree (CART) analysis. Predictive performances of CART-derived and other candidate AUC thresholds was assessed through positive and negative predictive value and receiver operating characteristic curves. Poisson regression was used to quantify the association between exposure thresholds and nephrotoxicity while adjusting for confounders. Among 323 patients included, nephrotoxicity was significantly higher in patients with AUCs from 0 to 48 h (AUC0-48) of ≥1,218 mg · h/liter, AUC0-24 of ≥677 mg · h/liter, AUC24-48 of ≥683 mg · h/liter, and day 1 Cmin (Cmin24) of ≥18.8 mg/liter. Vancomycin exposure in excess of these thresholds was associated with a 3- to 4-fold-increased risk of nephrotoxicity in Poisson regression. The predictive performance of AUC for nephrotoxicity was maximized at daily AUC values between 600 and 800 mg · h/liter. Although these data support an AUC range for vancomycin-associated nephrotoxity rather than a single threshold, available evidence suggests that a daily AUC limit of 700 mg · h/liter is reasonable.

Continue reading

Article of interest: Assessment of morbidity and mortality after esophagectomy using a modified frailty index

Hodari A, et al. Assessment of morbidity and mortality after esophagectomy using a modified frailty index. Ann Thorac Surg. 2013 Oct;96(4):1240-1245.

Full-text for Emory users.

Results: A total of 2,095 patients were included in the analysis. Higher frailty scores were associated with a statistically significant increase in morbidity and mortality. A frailty score of 0, 1, 2, 3, 4, and 5 had associated morbidity rates of 17.9% (142 of 795 patients), 25.1% (178 of 710 patients), 31.4% (126 of 401 patients), 34.4% (48 of 140 patients), 44.4% (16 of 36 patients), and 61.5% (8 of 13 patients), respectively. A frailty score of 0, 1, 2, 3, 4, and 5 had associated mortality rates of 1.8% (14 of 795 patients), 3.8% (27 of 710 patients), 4% (16 of 401 patients), 7.1% (10 of 140 patients), 8.3% (3 of 36 patients), and 23.1% (3 of 13 patients), respectively. When using multivariate logistic regression for mortality comparing age, functional status, prealbumin, emergency surgery, wound class, American Society of Anesthesiologists score, and sex, only age and frailty were statistically significant. The odds ratio was 31.84 for frailty (p = 0.015) and 1.05 (p = 0.001) for age.

Continue reading

Article of interest: LekCheck: A Prospective Study to Identify Perioperative Modifiable Risk Factors for Anastomotic Leakage in Colorectal Surgery

Huisman DE, Reudink M, van Rooijen SJ, et al. LekCheck: A Prospective Study to Identify Perioperative Modifiable Risk Factors for Anastomotic Leakage in Colorectal Surgery. Ann Surg. 2020 Jun 4. [Epub ahead of print]

Full-text for Emory users.

Objective: To assess potentially modifiable perioperative risk factors for anastomotic leakage in adult patients undergoing colorectal surgery.

Summary background data: Colorectal anastomotic leakage (CAL) is the single most important denominator of postoperative outcome after colorectal surgery. To lower the risk of CAL, the current research focused on the association of potentially modifiable risk factors, both surgical and anesthesiological.

Continue reading

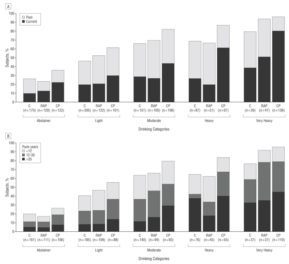
Smoking and pancreatic disease

Yadav D, Hawes RH, Brand RE, et al. Alcohol consumption, cigarette smoking, and the risk of recurrent acute and chronic pancreatitis. Arch Intern Med. 2009 Jun 8; 169(11):1035-45.

Free full-text.

Chronic pancreatitis_smoking

Figure 3. Distribution of self-reported smoking status (A) and amount (B) stratified by drinking categories. All proportions are based on effective numbers, and never smokers account for the proportions not reflected in the graphs. C indicates control group; CP, chronic pancreatitis group; RAP, recurrent acute pancreatitis group.

Continue reading